Chemie
Sekundarstufe II
Reaktionsgeschwindigkeit & chemisches Gleichgewicht
Reaktionsgeschwindigkeit
Datum:

Optionale Betrachtung: ΔV zu Δc

Berechnung einer Konzentrationsänderung

01.03.2026
30601
19

LNCU.de
ID 30601

CC-BY-SA 4.0Online abrufen
Gregor von BorstelDavid Weninger
0
Die Idee dahinterPDF
M1

Grundlegendes

Weiteres

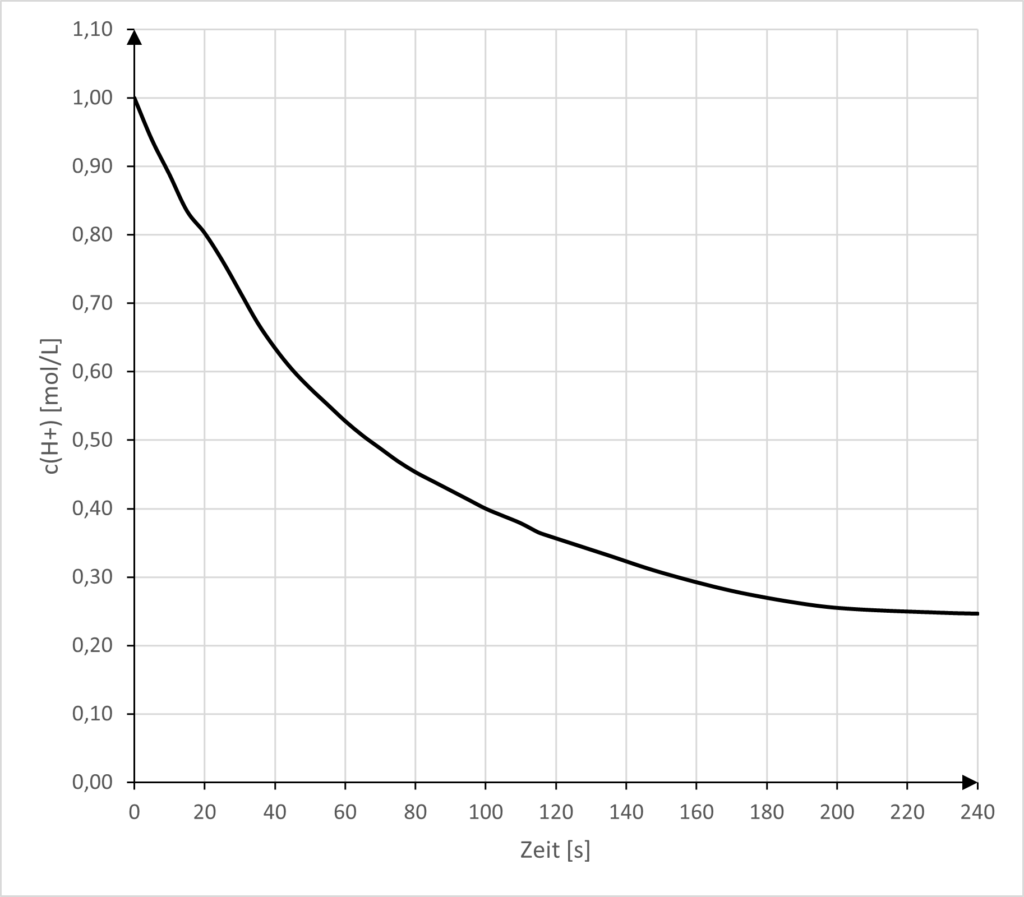
Oft interessieren uns in der Chemie auch die Reaktionsgeschwindigkeiten der Stoffe, deren Konzentrationsänderung wir nicht direkt beobachten können.

Beispielweise könnten wir die Volumenzunahme an Wasserstoff beobachten, uns aber für die Konzentrationsänderung der Wasserstoff-Ionen (H+)1 interessieren:

Hier wird zunächst einmal erklärt, wie man z. B. aus dem Volumen des entstandenen Wasserstoffs die Konzentration der verbliebenen Oxonium-Ionen in der Lösung berechnet und dann in M2 wie man daraus die Konzentrationsänderungen der Magnesium-Ionen ermittelt.

Volumen -> Konzentration

Wie man aus dem entstehende Volumen an Wasserstoffgas die verbliebene Konzentration der H+-Ionen in der Lösung berechnet, wollen wir hier einmal nachvollziehen.

Wie kommt man vom Volumen zur Konzentration?.2

Weiteres

Darstellungen von Messerten.

Aufgaben

  1. Klären Sie anhand von Galerie 1, wie man prinzipiell aus dem gemessenen Volumen an Wasserstoff auf die verbliebene Konzentration an Wasserstoff-Ionen in der Lösung schließen kann.
  2. Wählen Sie aus Galerie 2 die Darstellung(en) aus, aus der/denen man die Reaktionsgeschwindigkeit des Verbrauchs an H+-Ionen ermitteln kann. Ermitteln Sie zeichnerisch oder mit Hilfe der Wertetabelle
    1. die Anfangsgeschwindigkeit für den Verbrauch der H+-Ionen.
    2. die Reaktionsgeschwindigkeit des Verbrauchs an H+-Ionen zu zwei weiteren verschiedenen Zeitpunkten oder Zeiträumen.
  3. Erklären Sie die Aussage „Die Geschwindigkeit ist eigentlich negativ“.
M2

Die Konzentration der Magnesium-Ionen zu diversen Zeitpunkten ableiten

Weiteres

Kennt man verbrauchte Stoffmenge an Wasserstoff-Ionen, kann man mit Hilfe der Reaktionsgleichung daraus leicht die entstehende Stoffmenge und Konzentration der Magnesium-Ionen ableiten.

Weiteres

Wertetabelle zur Bildung von Magnesium-Ionen.2

Weiteres

Lösungsansatz: Es gilt aus bekannten Größen die Konzentration der Magnesium-Ionen zu bestimmen. Zu Beginn ist die Konzentration von Magnesium-Ionen c(Mg2+) = 0 mol/L. Am einfachsten kann man die Konzentration mit Hilfe der Reaktionsgleichung aus der Konzentration der H+-Ionen berechnen: Bei der Reduktion von 2 mol H+-Ionen entstehen zeitgleich immer 1 mol Mg2+-Ionen. Das heißt, es entstehen pro Zeitintervall immer halb so viele Mg2+-Ionen, wie H+-Ionen „verschwinden“.

Aufgaben

  1. Vollziehen Sie nach, wie man aus den Messwerten und der Reaktionsgleichung in M2 auf die nicht gemessene Konzentration der Magnesium-Ionen schließen kann.
  2. Ergänzen Sie in der Wertetabelle die fehlenden Werte der Geschwindigkeit bei der Bildung von Magnesium-Ionen (Mg2+) in mindestens zwei verschiedenen Zeitintervallen.
M3

Übung

Weiteres

Die Geschwindigkeit der Reaktion von Salzsäure mit Methanol wurde gemessen:

Weiteres

Wertetabelle zur Reaktion.2

Aufgaben

  1. Berechnen Sie aus den Angaben in M3 die Geschwindigkeiten des Verbrauchs an H+-Ionen und der Bildung von Chlormethan (CH3Cl ) in den beiden angegebenen Zeitintervallen.

Teilen

Optionale Betrachtung: ΔV zu Δc
Berechnung einer Konzentrationsänderung
https://lncu.davidweninger.de/material/optionale-betrachtung-%ce%b4v-zu-%ce%b4c/