Chemie
Sekundarstufe II
Säuren, Basen & analytische Verfahren
Nachweisreaktionen
Datum:

Rechnen mit dem Löslichkeitsprodukt

Übungsaufgaben

19.01.2026
26788
82

LNCU.de
ID 26788

CC-BY-SA 4.0Online abrufen
David WeningerDavid Weninger
0
Die Idee dahinterPDF

Bearbeiten Sie die Aufgaben mit Hilfe der Zusatzinformationen in M1.

Aufgaben

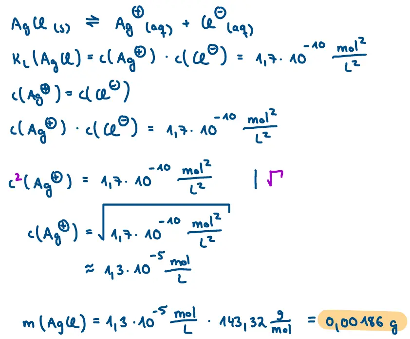
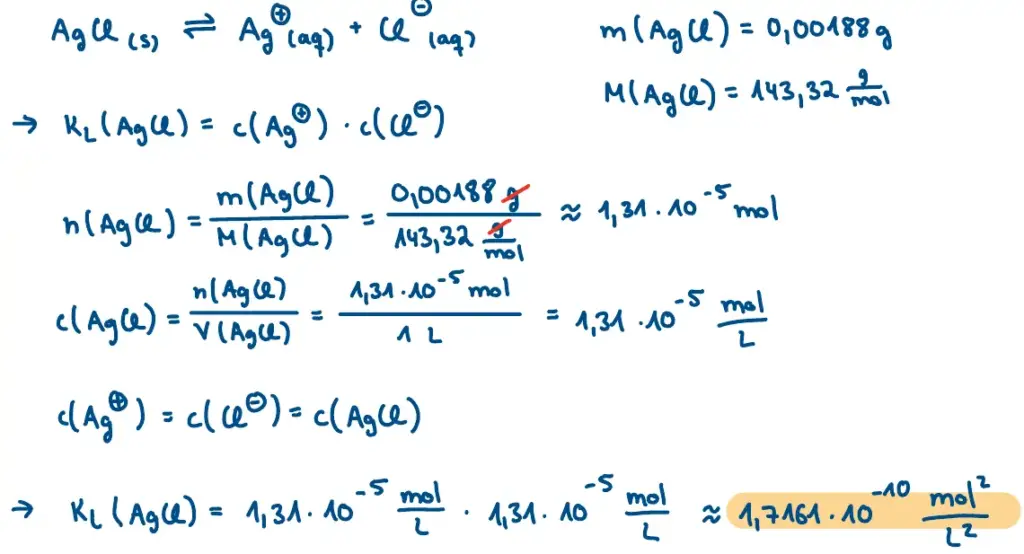
  1. In einem Liter destilliertes Wasser lösen sich bei 25 °C 0,0018 g Silberchlorid. Wie groß ist das Löslichkeitsprodukt?
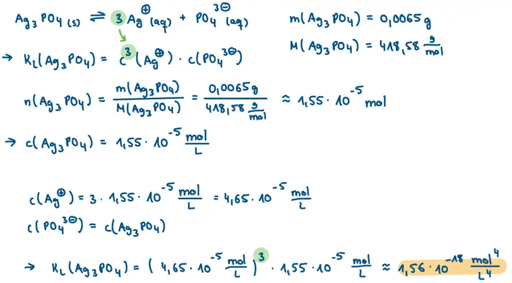
  2. In einem Liter destilliertes Wasser lösen sich bei 25 °C 0,0065 g Silberphosphat. Wie groß ist das Löslichkeitsprodukt?
  3. Zu einer wässrigen Lösung aus Natriumchlorid, Natriumbromid und Natriumiodid wird Silbernitrat-Lösung zugegeben. Stellen Sie eine begründete Vermutung zum Ergebnis dieser Zugabe auf.
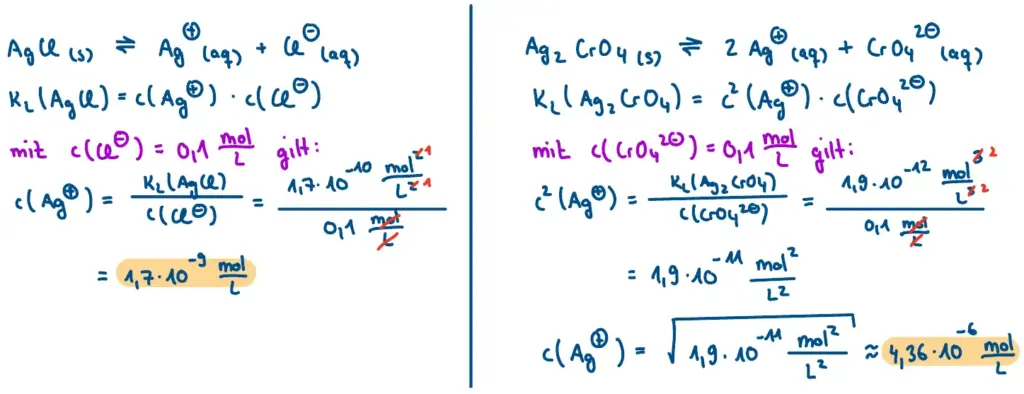
  4. Eine Lösung enthält 0,1 mol/L Natriumchlorid und 0,1 mol/L Natriumchromat. Fällt bei Zugabe von Silbernitrat zuerst Silberchlorid oder Silberchromat aus?
  5. Tritt eine Fällung ein, wenn man 10 mL einer Lösung von Silbernitrat der Konzentration 0,1 mol/L mit 10 mL einer Kochsalzlösung der Konzentration 0,0001 mol/L vermischt?
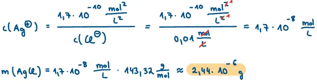
  6. Wie viel Gramm Silberchlorid löst sich in einem Liter …
    1. destilliertes Wasser?
    2. einer 0,01 molaren Natriumchlorid-Lösung?
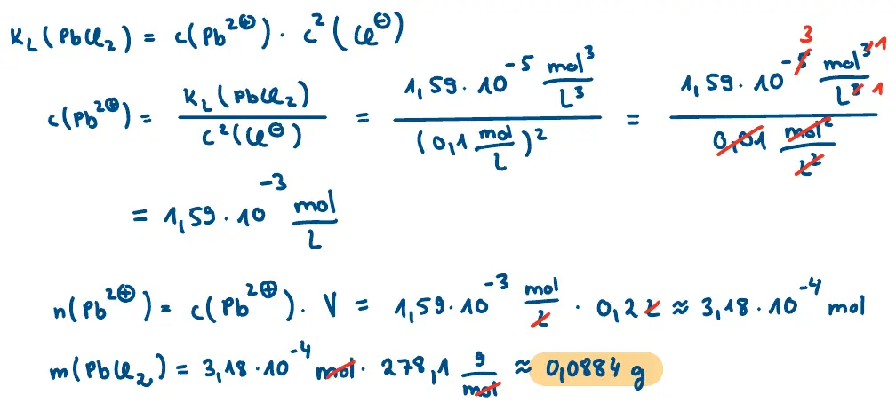
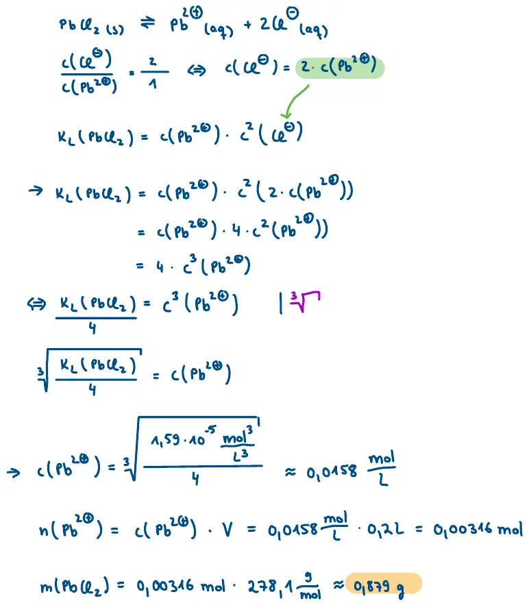
  7. Wie viel Gramm Bleichlorid lösen sich in 200 mL
    1. destilliertes Wasser?
    2. Salzsäure mit einer Konzentration von 0,1 mol/L?
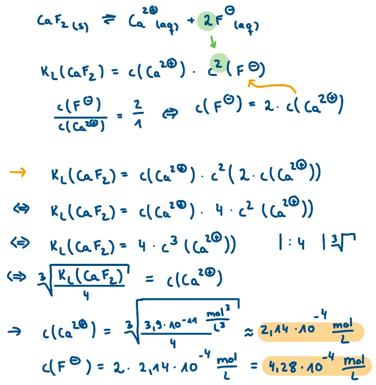
  8. Gegeben ist das Löslichkeitsprodukt von Calciumfluorid bei 25 °C.
    1. Wie groß ist die Konzentration der Calcium- und Fluorid-Ionen in der gesättigten Lösung?
    2. Wie viel Gramm Calciumfluorid lösen sich in 100 mL dest. Wasser bei 25 °C.
  9. Manche Salze haben eine größere Löslichkeit in Wasser, als nach dem Löslichkeitsprodukt zu erwarten wäre, z.B. Bariumcarbonat.
    1. Stellen Sie eine begründete Vermutung für dieses Phänomen am Beispiel von Bariumcarbonat auf.
    2. Machen Sie einen begründeten Vorschlag, wie sich die Löslichkeit von Bariumcarbonat steigern ließe.
M1

Zusatzinformationen

Löslichkeitsprodukte
molare Massen

Teilen

Rechnen mit dem Löslichkeitsprodukt
Übungsaufgaben
https://lncu.davidweninger.de/material/rechnen-mit-dem-loeslichkeitsprodukt/