SUCHERGEBNISSE: 224
Chemie
Sekundarstufe II
Reaktionswege in der organischen Chemie
Reaktionsmechanismen
Datum:

Brommethan – Gesundheitsgefahr durch Containerbegasung

Anwendung zur Nucleophilen Substitution

08.02.2026
27476
51

LNCU.de
ID 27476

CC-BY-SA 4.0Online abrufen
Andreas BöhmGregor von Borstel
0
Die Idee dahinterPDF
M1

Container-Begasung mit Brommethan

Container und ihre unsichtbare Fracht

Containerschiffe haben allerlei an Bord123

Viele der Container, die Tag für Tag in deutschen oder niederländischen Häfen ankommen, enthalten nicht nur Elektroartikel, Lebensmittel oder Textilien, sondern daneben auch hochgiftige Substanzen, eigens eingesetzt zur Schädlingsbekämpfung.

Schiffsladungen werden zur Gefahr für Mensch und Umwelt

Giftalarm im Hafen von Rotterdam. Ein Container aus Asien ist mit Nervengift hoch belastet und wird jetzt professionell entgast. Wie gefährlich Giftgas aus Containern ist, mussten Arbeiter der Messe München im September 2007 erfahren. Die Männer hatten einen Container mit Maschinenteilen aus Indien ausgeladen, alle 32 betroffenen Personen wurden mit Vergiftungserscheinungen ins Krankenhaus eingeliefert und dort behandelt, fünf von ihnen stationär. Die Spedition teilte den behandelnden Ärzten mit, dass der Container mit Brommethan begast war.

Brommethan ist ein Schädlingsbekämpfungsmittel, mit dem Container vor allem in asiatischen bzw. fernöstlichen Ländern behandelt werden um zu verhindern, dass Schädlinge z. B. im Holz von Paletten in die EU importiert werden. Die Verwendung von Brommethan als Begasungsmittel ist in der Europäischen Union seit 2010 untersagt. In anderen Ländern gelten allerdings andere Vorschriften.

Da die Container teilweise nicht gekennzeichnet sind und trotz langer Transportdauern z.T. noch hohe Konzentrationen an Brommethan aufweisen, werden sie zu einer ernsthaften Gesundheitsgefahr. So werden immer wieder Hafenarbeiter, Zöllner und LKW-Fahrer mit schweren Vergiftungserscheinungen in Kliniken eingeliefert.  In Südafrika und der Ukraine kam es sogar zu Todesfällen. 4

M2

Vergleich der Halogenmethane

Weiteres

Gefahrenpotential der Halogenmethane (MAK: Maximale Arbeitsplatz-Konzentration)

M3

Reaktion von Brommethan mit Proteinen und Nukleinsäuren

Brommethan ist sehr reaktiv

Als alkylierendes Agens zeichnet sich Brommethan durch eine hohe Reaktionsfreudigkeit gegenüber nukleophilen Zentren in Proteinen und Nukleinsäuren (DNA und RNA) aus. Folgende Befunde zeigen beispielhaft die Wirkung von Brommethan5:

  • Die Begasung von Mais- und Weizenpflanzen führte zur Methylierung zyklischer und exozyklischer Stickstoffatome von Cytosin, Adenin und Guanin in der Pflanzen-DNA.
  • Auch in Mäusen fanden sich DNA-Addukte in Leber und Milz, in Ratten zusätzlich in Lunge, Vormagen und Magen nach einer Behandlung mit Brommethan.
  • Schädlingsbekämpfer, die mit Brommethan Umgang hatten, wiesen gegenüber Kontrollpersonen einen erhöhten S-Methylcystein-Gehalt in Blutproteinen auf.
Reaktionen mit der DNA

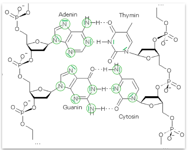
Durch eine Veränderung der DNA-Basen funktioniert die Paarung der gegenüberliegenden Basen über H-Brücken (Adenin-Thymin bzw. Guanin-Cytosin) nicht mehr. Bei der Verdopplung der DNA können dann Mutationen entstehen, was zu Krebs führen kann. 

Modell der DNA mit komplementären Basenpaaren, über Wasserstoffbrücken verbunden6

Reaktionen mit Proteinen

Durch die Reaktionen mit Proteinen kann deren Funktionstüchtigkeit eingeschränkt werden. Reagieren z. B. Aminosäurereste im aktiven Zentrum von Enzymen mti Brommethan, kann dies die Anlagerung eines Substratmoleküls unmöglich machen, so dass das Enzym funktionsuntüchtig ist. Dies erklärt die Beobachtung, dass die Enzymaktivitäten in Zellen, die mit Brommethan behandelt wurden, vermindert sind. 

Modell Darstellung eines aktiven Zentrums in einem Enzym7

Weiteres

Auch andere Proteine können durch die Reaktion mit Brommethan so verändert werden, dass sie ihre Funktion nicht mehr erfüllen können. Beispielsweise sind hier wichtige intramolekulare Wechselwirkungen im Makromolekül dann nicht mehr möglich, so dass sich die gesamte Proteinstruktur verändert.

Für die Reaktion müssen die Brommethanmoleküle teilweise in winzige Lücken zwischen benachbarten Bereichen der Peptidkette eindringen.

Modell eines großen Proteinmoleküls mit wichtigem Ausschnitt 7

M4

Begasungsmittel als Gefahrenquelle für Verbraucher

Weiteres

Brommethan kann während der langen Transportwege  in die Waren, die in den begasten Containern transportiert wurden, eindringen. Dies birgt mögliche Gefahren für den Verbraucher, da aus den gekauften Produkten (Textilien, Leder, Holzprodukte) noch Brommethan austreten kann. Untersuchungen des TÜVs Rheinland zum „Ausgasen“ von Brommethan aus diversen Produkten aus begasten Containern führten u.a. zu den in Abb. 5 dargestellten Messergebnissen.

Weiteres

Ausgasung von Brommethan8

Aufgaben

  1. Erläutern Sie, inwiefern die in M2 aufgeführten Bindungsenergien darauf hinweisen, dass das Gefahrenpotential der verschiedenen Halogenmethane auf die unterschiedliche Reaktivität bei nucleophilen Substitutionen zurückzuführen
    ist.
  2. Begründen Sie, welche Stickstoff (N)-Atome der DNA-Basen als Angriffsstellen für Brommethan bevorzugt angegriffen werden müssten. Erklären Sie auch unter Verwendung von M3, warum Thymin nur sehr selten von Brommethan angegriffen wird.
  3. Formulieren Sie mit Hilfe von M3 für eine Reaktion zwischen einer DNA-Base und Brommethan die Reaktion mit Strukturformeln.
    Wählen Sie eine Reaktion aus, die tatsächlich zu veränderten Basenpaarungseigenschaften führt.
  4. Erklären Sie mit Hilfe von M3 die Auswirkungen des Einflusses von Brommethan auf die Enzymaktivitäten.
  5. Erläutern Sie mit Hilfe von M3, inwiefern die geringe Molekülgröße zur beträchtlichen Giftigkeit beiträgt: Hinweis die erbgutschädigende Wirkung nimmt über Bromethan zu Brompropan ab, für Brombutan ist keine erbgutschädigende Wirkung bekannt.

Weitergedacht

  1. Erläutern Sie, inwiefern durch Containerbegasung mit Brommethan auch für Endverbraucher Gesundheitsgefahren bestehen können.
  2. Erklären Sie die Begriffe „ zyklische und exozyklische Stickstoffatome“, „DNA-Addukte“ und „S-Methylcystein“.

Teilen

Brommethan – Gesundheitsgefahr durch Containerbegasung
Anwendung zur Nucleophilen Substitution
https://lncu.davidweninger.de/material/brommethan-gesundheitsgefahr-durch-containerbegasung/