Blutzuckerspiegel - warum wird er reguliert?
Weiteres
Der Blutzuckerspiegel (Glucose-Konzentration im Blut) wird vom menschlichen Körper über die Hormone Insulin und Glukagon reguliert. Eine Unterzuckerung (Hypoglykämie; Blutzuckerspiegel <70 mg/dl) kann zu Nervosität, Verwirrtheit oder gar zur Bewusstlosigkeit führen, da das Gehirn nicht mit ausreichend Energie versorgt wird. Eine häufige Überzuckerung (Hyperglykämie) führt langfristig u.a. zu Schädigungen der Blutgefäße und erhöht damit das Risiko für z.B. einen Herzinfarkt oder Schlaganfall. Der aktuelle Blutzuckerspiegel kann mit Blutzuckermessgeräten schnell ermittelt werden. Um die Höhe des Blutzuckerspiegels in den letzten 2-3 Monaten zu beurteilen, hilft der sogenannte HbA1c-Wert, der auch als Langzeit-Blutzuckerwert bezeichnet wird.
Weiteres
Beurteilung von Blutzuckerwerten.1
Bildung von Halbacetalen und Acetalen
Bildung eines cyclischen Halbacetals
Anregungen


Halbacetalbildung
Hyperglykämie - eine Gefahr für die Blutgefäße
Weiteres
Dialog mit einer KI:
Frage: Inwiefern wirkt sich ein zu hoher Blutzuckerspiegel schädigend auf Blutgefäße aus? Kann es damit zu tun haben, dass Glucose-Moleküle mit Aminosäureresten an der Innenseite des Endothels reagieren und so die innere Oberfläche der Blutgefäße verändert wird?
- Ein dauerhaft erhöhter Blutzuckerspiegel (Hyperglykämie), wie er z. B. bei Diabetes mellitus auftritt, verändert tatsächlich Membranen – besonders die Zellmembranen der Endothelzellen an der Innenseite von Blutgefäßen – auf mehreren Ebenen.
- Glucose reagiert mit Proteinen (einschließlich Kollagen in Gefäßwänden) und Lipiden und bildet in mehreren Reaktionsschritten fortschreitend sogenannte „Fortgeschrittene glykierte Endprodukte“ (AGEs). Diese verändern Struktur und Funktion der Gefäßwand, fördern Entzündung, Oxidativität und Quervernetzungen. Dies führt letztlich zu Gefäßschäden.
- AGEs binden an AGE-Rezeptoren (RAGE) an Endothelzellen, Thrombocyten und Zellen des Immunsystems, was u.a. zur Auslösung von Entzündungsreaktionen durch das Immunsystem führt und auch das Risiko der Entstehung von Thromben (kleine Blutgerinnsel) erhöht, die in ungünstigen Fällen Blutgefäße verstopfen (Thrombose).
Frage: Werden Proteine dann bevorzugt an Aminogruppen von Lysinresten glykoliert oder kommen auch Hydroxygruppen von z.B. Serin- oder Tyrosinresten in Frage? Ist dann jedes – auch ein nur kurzfristiges – Ansteigen des Blutzuckerspiegels gefährlich?
- Kurz gesagt: Bei der fortgeschrittenen Glycation reagieren primär die Aldehydgruppen der Glukose mit freien Aminogruppen von Proteinen, vor allem der Aminogruppe von Lysinresten.
Bis zur Bildung von Iminen (erste Reaktionsschritte) finden die Reaktionen recht schnell statt, diese Reaktionen sind aber reversibel, d.h beim Sinken des Blutzuckerspiegels reagieren die Imine zurück zu Aldehyd und Amin. - Die von den Iminen ausgehenden Folgereaktionen, die zur Bildung der eigentlichen AGEs führen, sind langsam und finden innerhalb von Tagen statt. Diese Reaktionen sind aber irreversibel.
- Hydroxygruppen von Serin-, Tyrosin- oder Threoninresten spielen eine geringere Rolle bei der klassischen non-enzymatischen Glycation. Sie können zwar anderweitig modifiziert werden, aber die Hauptreaktion der AGE-Bildung erfolgt über Aminogruppen an Lysin.
Weiteres
Stark vereinfachte schematische Darstellung eines Querschnittes durch ein Blutgefäß.2
Aufgaben
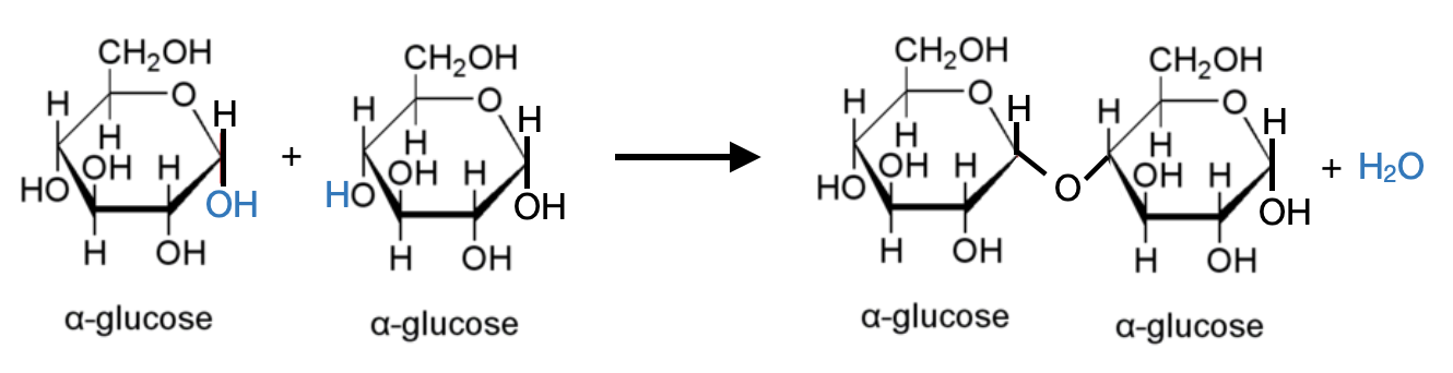
- Erläutern Sie die Ringbildungsreaktion des Glucosemoleküls (mit Strukturformeln in Einzelschritten) und erklären Sie die Bezeichnung „cyclisches Halbacetal“.
- Erläutern Sie, wie Bildung eines Acetalmoleküls abläuft (mit Strukturformeln/ Welches Atom greift warum wo an?) und übertragen Sie ihre Erkenntnisse auf die Bildung eines Maltose-Moleküls aus zwei Glucosemolekülen.
- Formulieren Sie für die Reaktion von Glucose mit einer Aminogruppe an der Oberfläche eines Proteins die Reaktion in Strukturformelschreibweise und erklären Sie, warum eher langfristig zu hohe Blutzuckerspiegel eine Gesundheitsgefahr darstellen, aber nicht kurzzeitige Blutzuckerspitzen.
- Informieren Sie sich, auf welche Reaktion die Bildung von HbA1c zurückzuführen ist und inwiefern der HbA1c-Wert Aussagen über längerfristige Tendenzen bzgl. des Blutzuckerspiegels ermöglicht.
Zusatzüberlegungen: "Gefahrlose" Speicherung von Glucose
Weiteres
Die Haupt-Glucosepeicher im menschlichen Körper befinden sich in der Leber und in den Muskeln. Glucose wird hier allerdings nicht in monomerer Form, sondern in Form von Glykogen, einem stark verzweigten Polymer (Abb. 7) gespeichert. Beim Abbau des Glykogens zur Freisetzung von Glucose werden an den vielen 4′-Enden Glucose-Einheiten enzymatisch abgespalten. Wegen der Vielzahl an 4′-Enden ist eine sehr schnelle Freisetzung von großen Glucose-Mengen möglich.
Struktur eines Glykogen-Moleküls.5
Zusatzaufgabe
- Erklären Sie mit Hilfe von Abb. 6 und Abb. 7, wieso die Speicherung von Glucose in Form von Glykogen-Molekülen als „gefahrlos“ für die speichernden Muskel- und Leberzellen bezeichnet werden kann.









